반응형
https://leetcode.com/problems/invert-binary-tree/description/
Invert Binary Tree - LeetCode
Level up your coding skills and quickly land a job. This is the best place to expand your knowledge and get prepared for your next interview.
leetcode.com
문제
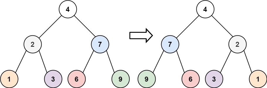
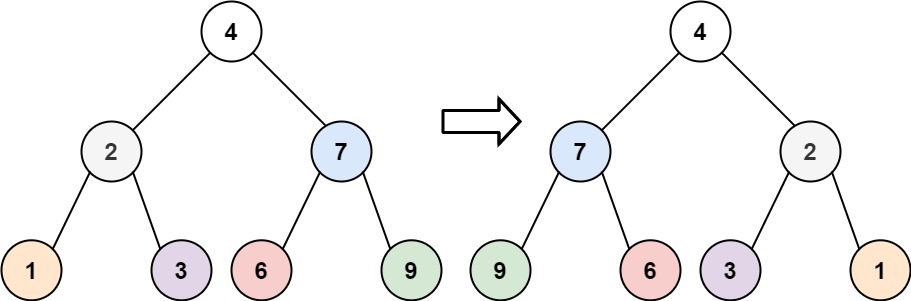
Given the root of a binary tree, invert the tree, and return its root.
Example 1:

Input: root = [4,2,7,1,3,6,9]
Output: [4,7,2,9,6,3,1]
Example 2:

Input: root = [2,1,3]
Output: [2,3,1]
Example 3:
Input: root = []
Output: []
Constraints:
- The number of nodes in the tree is in the range [0, 100].
- -100 <= Node.val <= 100
풀이
풀이 과정
주어진 이진트리의 각 depth의 left와 right 노드를 뒤집는 문제이다.
재귀호출을 통하여 left와 right 노드를 서로 스왑하여 root 노드를 반환한다.
최종 코드
/**
* Definition for a binary tree node.
* public class TreeNode {
* int val;
* TreeNode left;
* TreeNode right;
* TreeNode() {}
* TreeNode(int val) { this.val = val; }
* TreeNode(int val, TreeNode left, TreeNode right) {
* this.val = val;
* this.left = left;
* this.right = right;
* }
* }
*/
class Solution {
public TreeNode invertTree(TreeNode root) {
// 노드가 없는 경우 탐색 종료
if(root == null) return root;
// left와 right 노드를 스왑
TreeNode temp = root.left;
root.left = invertTree(root.right);
root.right = invertTree(temp);
return root;
}
}
반응형
'알고리즘 > LeetCode' 카테고리의 다른 글
| [LeetCode] 141. Linked List Cycle - Java (0) | 2022.12.05 |
|---|---|
| [LeetCode] 206. Reverse Linked List - Java (0) | 2022.12.04 |
| [LeetCode] 100. Same Tree - Java (0) | 2022.12.02 |
| [LeetCode] 125. Valid Palindrome - Java (0) | 2022.12.01 |
| [LeetCode] 20. Valid Parentheses - Java (0) | 2022.12.01 |