반응형
https://leetcode.com/problems/reverse-linked-list/description/
Reverse Linked List - LeetCode
Level up your coding skills and quickly land a job. This is the best place to expand your knowledge and get prepared for your next interview.
leetcode.com
문제
Given the head of a singly linked list, reverse the list, and return the reversed list.
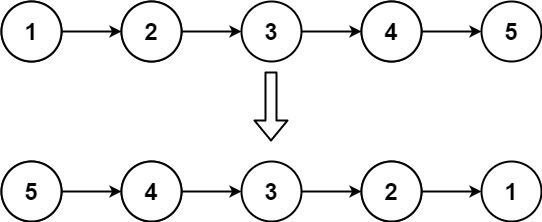
Example 1:

Input: head = [1,2,3,4,5]
Output: [5,4,3,2,1]
Example 2:

Input: head = [1,2]
Output: [2,1]
Example 3:
Input: head = []
Output: []
Constraints:
- The number of nodes in the list is the range [0, 5000].
- -5000 <= Node.val <= 5000
Follow up: A linked list can be reversed either iteratively or recursively. Could you implement both?
풀이
풀이 과정
주어진 Linked List 를 역순으로 뒤집는 문제이다.
함수를 재귀호출하여 뒤에서 부터 next가 가리키는 값을 바꾸어 주도록 한다.
빈 리스트이거나 다음 노드가 없는 경우 재귀 호출을 종료하고 아닌 경우 다음 노드를 호출한다/
// 빈 리스트이거나 다음 노드가 없으면 재귀 호출 종료
if(head == null || head.next == null){
return head;
}
// 다음 노드 재귀 호출
ListNode List = reverseList(head.next);
현재 탐색중인 노드의 다음 노드가 가리킬 next 값을 현재 노드의 head 값으로 설정하고 현재 노드가 가리키는 next 값은 null로 설정하여 연결을 끊어준다.
// 현재 노드의 다음 노드가 가리키는 next 값을 현재 head로 설정
head.next.next = head;
// 현재 노드가 가리키는 다음 노드를 null로 설정
head.next = null;
재귀 호출이 완료되어 최종 변경된 리스트를 반환한다.
// 변경된 List를 return
return List;
최종 코드
/**
* Definition for singly-linked list.
* public class ListNode {
* int val;
* ListNode next;
* ListNode() {}
* ListNode(int val) { this.val = val; }
* ListNode(int val, ListNode next) { this.val = val; this.next = next; }
* }
*/
class Solution {
public ListNode reverseList(ListNode head) {
// 빈 리스트이거나 다음 노드가 없으면 재귀 호출 종료
if(head == null || head.next == null){
return head;
}
// 다음 노드 재귀 호출
ListNode List = reverseList(head.next);
// 현재 노드의 다음 노드가 가리키는 next 값을 현재 head로 설정
head.next.next = head;
// 현재 노드가 가리키는 다음 노드를 null로 설정
head.next = null;
// 변경된 List를 return
return List;
}
}
반응형
'알고리즘 > LeetCode' 카테고리의 다른 글
| [LeetCode] 21. Merge Two Sorted Lists - Java (0) | 2022.12.07 |
|---|---|
| [LeetCode] 141. Linked List Cycle - Java (0) | 2022.12.05 |
| [LeetCode] 226. Invert Binary Tree - Java (0) | 2022.12.02 |
| [LeetCode] 100. Same Tree - Java (0) | 2022.12.02 |
| [LeetCode] 125. Valid Palindrome - Java (0) | 2022.12.01 |