https://leetcode.com/problems/remove-nth-node-from-end-of-list/description/
Remove Nth Node From End of List - LeetCode
Level up your coding skills and quickly land a job. This is the best place to expand your knowledge and get prepared for your next interview.
leetcode.com
문제
Given the head of a linked list, remove the nth node from the end of the list and return its head.
Example 1:

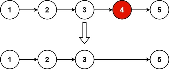
Input: head = [1,2,3,4,5], n = 2
Output: [1,2,3,5]
Example 2:
Input: head = [1], n = 1
Output: []
Example 3:
Input: head = [1,2], n = 1
Output: [1]
Constraints:
- The number of nodes in the list is sz.
- 1 <= sz <= 30
- 0 <= Node.val <= 100
- 1 <= n <= sz
Follow up: Could you do this in one pass?
풀이
풀이 과정
연결 리스트와 정수 n이 주어졌을 때 뒤에서 n번째 노드를 제거한 연결 리스트를 구해야한다.
두 개의 포인터를 이용해 뒤에서 n번째 위치를 찾아낸다.
첫 번째 포인터는 처음 위치부터 시작하는 포인터, 두 번째 포인터는 첫 번째 포인터로부터 n만큼 떨어진 위치부터 시작하는 포인터이다.
n만큼 떨어진 위치부터 시작한 포인터가 리스트의 끝에 도달하게 되었을 때 첫 번째 위치부터 시작한 포인터는 뒤에서 n만큼 떨어진 위치에 도달하게 되므로 해당 위치의 노드를 제거한다.
우선 최종적으로 반환할 리스트를 하나 선언한다.
// 최종적으로 반환할 ListNode 선언
ListNode answer = new ListNode(0);
answer.next = head;
처음 위치부터 시작할 포인터와 n만큼 떨어진 위치부터 시작할 포인터 두 개를 선언한다.
// 처음 위치부터 시작할 포인터
ListNode slow = answer;
// n만큼 떨어진 위치부터 시작할 포인터
ListNode fast = answer;
for(int i = 0; i < n; i++){
fast = fast.next;
}
n만큼 떨어진 위치에서 시작한 포인터가 끝에 도달할 때까지 두 포인터를 모두 이동한다.
// n만큼 떨어져서 시작한 포인터가 끝에 도달할 때까지 두 포인터 이동
while(fast.next != null){
slow = slow.next;
fast = fast.next;
}
fast 포인터가 리스트의 끝에 도달하였을 때 slow의 next를 그 다음 노드로 교체한다.
// 두 포인터가 n만큼 떨어져서 움직였으므로
// fast가 끝에 도달하면 slow는 뒤에서 n만큼 떨어진 자리에 위치하게 됨
// slow의 next를 next.next로 설정
slow.next = slow.next.next;
answer 리스트를 반환한다. 이 때 첫 번째 노드를 임의로 설정하고 그 다음 노드에 head를 세팅하였으므로 최종적으로 반환하는 값은 answer.next이다.
// answer 첫번째 노드를 0으로 임의 설정하고 다음 노드에 head를 넣었으므로
// answer.next를 반환
return answer.next;
최종 코드
/**
* Definition for singly-linked list.
* public class ListNode {
* int val;
* ListNode next;
* ListNode() {}
* ListNode(int val) { this.val = val; }
* ListNode(int val, ListNode next) { this.val = val; this.next = next; }
* }
*/
class Solution {
public ListNode removeNthFromEnd(ListNode head, int n) {
// 최종적으로 반환할 ListNode 선언
ListNode answer = new ListNode(0);
answer.next = head;
// 처음 위치부터 시작할 포인터
ListNode slow = answer;
// n만큼 떨어진 위치부터 시작할 포인터
ListNode fast = answer;
for(int i = 0; i < n; i++){
fast = fast.next;
}
// n만큼 떨어져서 시작한 포인터가 끝에 도달할 때까지 두 포인터 이동
while(fast.next != null){
slow = slow.next;
fast = fast.next;
}
// 두 포인터가 n만큼 떨어져서 움직였으므로
// fast가 끝에 도달하면 slow는 뒤에서 n만큼 떨어진 자리에 위치하게 됨
// slow의 next를 next.next로 설정
slow.next = slow.next.next;
// answer 첫번째 노드를 0으로 임의 설정하고 다음 노드에 head를 넣었으므로
// answer.next를 반환
return answer.next;
}
}
'알고리즘 > LeetCode' 카테고리의 다른 글
| [LeetCode] 377. Combination Sum IV - Java (0) | 2022.12.18 |
|---|---|
| [LeetCode] 139. Word Break -Java (0) | 2022.12.15 |
| [LeetCode] 198. House Robber - Java (0) | 2022.12.10 |
| [LeetCode] 91. Decode Ways - Java (0) | 2022.12.08 |
| [LeetCode] 21. Merge Two Sorted Lists - Java (0) | 2022.12.07 |