https://leetcode.com/problems/reorder-list/
Reorder List - LeetCode
Reorder List - You are given the head of a singly linked-list. The list can be represented as: L0 → L1 → … → Ln - 1 → Ln Reorder the list to be on the following form: L0 → Ln → L1 → Ln - 1 → L2 → Ln - 2 → … You may not modify the va
leetcode.com
문제
You are given the head of a singly linked-list. The list can be represented as:
L0 → L1 → … → Ln - 1 → Ln
Reorder the list to be on the following form:
L0 → Ln → L1 → Ln - 1 → L2 → Ln - 2 → …
You may not modify the values in the list's nodes. Only nodes themselves may be changed.
Example 1:

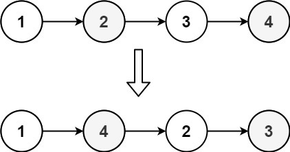
Input: head = [1,2,3,4]
Output: [1,4,2,3]
Example 2:

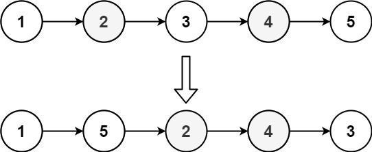
Input: head = [1,2,3,4,5]
Output: [1,5,2,4,3]
Constraints:
- The number of nodes in the list is in the range [1, 5 * 104].
- 1 <= Node.val <= 1000
풀이
풀이 과정
리스트의 head 노드가 주어지고 리스트의 각 노드가 0 → 1 → ... n-1 → n 이라고 할 때 주어진 리스트를 0 → n → 1 → n-1 → ... 의 형태로 재배열하는 문제이다.
문제에서 주어진 조건을 다시 정리하면 리스트의 시작점과 끝점에서부터 각각 노드가 한번씩 교차하도록 재배열을 해야한다. 재배열하기위해 크게 다음 세가지 단계를 거친다.
- 리스트를 절반으로 나누기
- 나누어진 리스트 중 뒤의 리스트를 역순 배열하기
- 나누어진 두 리스트를 번갈아가며 합치기
먼저 리스트를 절반으로 나누기 위해서는 한 칸씩 움직이는 포인터와 두 칸씩 움직이는 두 개의 포인터를 이용한다. 두 칸씩 움직이는 포인터가 리스트의 끝에 도달할 때 한 칸씩 움직이는 포인터의 위치가 리스트의 가운데가 된다.
// 중앙 값을 구하기 위해
// 한 칸씩 움직일 포인터와
// 두 칸씩 움직일 포인터 선언
ListNode slow = head;
ListNode fast = head;
// fast 포인터가 끝에 도착할 때 까지 포인터 이동
while(fast.next != null && fast.next.next != null){
slow = slow.next;
fast = fast.next.next;
}
다음으로 나누어진 리스트 중 뒤의 리스트를 역순 배열하기 위해서 LeetCode의 206. Reverse Linked의 풀이를 참고하여 리스트를 역순 정렬하는 함수를 작성한다.
[LeetCode] 206. Reverse Linked List - Java
https://leetcode.com/problems/reverse-linked-list/description/ Reverse Linked List - LeetCode Level up your coding skills and quickly land a job. This is the best place to expand your knowledge and get prepared for your next interview. leetcode.com 문제
hyojun.tistory.com
// 리스트 역순 정렬
public ListNode reverseList(ListNode head) {
// 빈 리스트이거나 다음 노드가 없으면 재귀 호출 종료
if(head == null || head.next == null){
return head;
}
// 다음 노드 재귀 호출
ListNode List = reverseList(head.next);
// 현재 노드의 다음 노드가 가리키는 next 값을 현재 head로 설정
head.next.next = head;
// 현재 노드가 가리키는 다음 노드를 null로 설정
head.next = null;
// 변경된 List를 return
return List;
}
만들어진 함수를 이용하여 절반으로 나누어진 리스트 중 뒤의 리스트를 역순 정렬하고 slow 포인터의 next를 null로 설정하여 앞의 절반까지의 리스트를 만든다.
// 절반 이후 부터 역순으로 정렬
ListNode list2 = reverseList(slow.next);
// 절반까지의 리스트
slow.next = null;
ListNode list1 = head;
마지막으로 나누어진 두 개의 리스트를 번갈아가면서 노드를 삽입하여 재졍렬된 리스트를 구한다.
while(list1 != null && list2 != null){
// 번갈아 가며 노드를 삽입
ListNode temp = list1.next;
list1.next = list2;
list1 = list2;
list2 = temp;
}
리스트의 길이가 2이하인 경우 재정렬을 하는 경우에도 같은 리스트이기 때문에 처음에 조건을 주어 불필요한 연산을 제거한다.
// 리스트의 길이가 2이하 이면 정렬이 불필요하므로 종료
if(head == null || head.next == null || head.next.next == null) return;
최종 코드
/**
* Definition for singly-linked list.
* public class ListNode {
* int val;
* ListNode next;
* ListNode() {}
* ListNode(int val) { this.val = val; }
* ListNode(int val, ListNode next) { this.val = val; this.next = next; }
* }
*/
class Solution {
public void reorderList(ListNode head) {
// 리스트의 길이가 2이하 이면 정렬이 불필요하므로 종료
if(head == null || head.next == null || head.next.next == null) return;
// 중앙 값을 구하기 위해
// 한 칸씩 움직일 포인터와
// 두 칸씩 움직일 포인터 선언
ListNode slow = head;
ListNode fast = head;
// fast 포인터가 끝에 도착할 때 까지 포인터 이동
while(fast.next != null && fast.next.next != null){
slow = slow.next;
fast = fast.next.next;
}
// 절반 이후 부터 역순으로 정렬
ListNode list2 = reverseList(slow.next);
// 절반까지의 리스트
slow.next = null;
ListNode list1 = head;
while(list1 != null && list2 != null){
// 번갈아 가며 노드를 삽입
ListNode temp = list1.next;
list1.next = list2;
list1 = list2;
list2 = temp;
}
}
// 리스트 역순 정렬
public ListNode reverseList(ListNode head) {
// 빈 리스트이거나 다음 노드가 없으면 재귀 호출 종료
if(head == null || head.next == null){
return head;
}
// 다음 노드 재귀 호출
ListNode List = reverseList(head.next);
// 현재 노드의 다음 노드가 가리키는 next 값을 현재 head로 설정
head.next.next = head;
// 현재 노드가 가리키는 다음 노드를 null로 설정
head.next = null;
// 변경된 List를 return
return List;
}
}
'알고리즘 > LeetCode' 카테고리의 다른 글
| [LeetCode] 54. Spiral Matrix - Java (0) | 2023.01.27 |
|---|---|
| [LeetCode] 73. Set Matrix Zeroes - Java (0) | 2023.01.26 |
| [LeetCode] 23. Merge k Sorted Lists - Java (0) | 2023.01.20 |
| [LeetCode] 3. Longest Substring Without Repeating Characters - Java (0) | 2023.01.17 |
| [LeetCode] 102. Binary Tree Level Order Traversal - Java (0) | 2023.01.17 |